Thông tin người có tài sản
Tên người có tài sản: Trung tâm Phát triển quỹ đất huyện Ứng Hòa.
Địa chỉ: Số 59 Lê Lợi, thị trấn Vân Đình, huyện Ứng Hòa, thành phố Hà Nội.

Thông tin đơn vị tổ chức đấu giá
Tên đơn vị Tổ chức đấu giá: Công ty đấu giá hợp danh Lạc Việt
Địa chỉ: số 49 Văn Cao, phường Liễu Giai, Quận Ba Đình, Thành phố Hà Nội
Số điện thoại: 02432115234
Thông tin việc đấu giá
Thời gian tổ chức cuộc đấu giá: 14:00 05/05/2025
Địa điểm tổ chức cuộc đấu giá: Trung tâm Văn hóa, Thông tin và Thể thao huyện Ứng Hoà
Thời gian bắt đầu đăng ký tham gia đấu giá: 08:00 16/04/2025
Thời gian kết thúc đăng ký tham gia đấu giá: 17:10 25/04/2025
Địa điểm, điều kiện, cách thức đăng ký:
Cá nhân đủ điều kiện và năng lực theo quy định tại Phương án, Quy chế đấu giá giá nộp hồ sơ và nộp tiền đặt trước theo thông báo và quy chế kèm theo
File đính kèm:
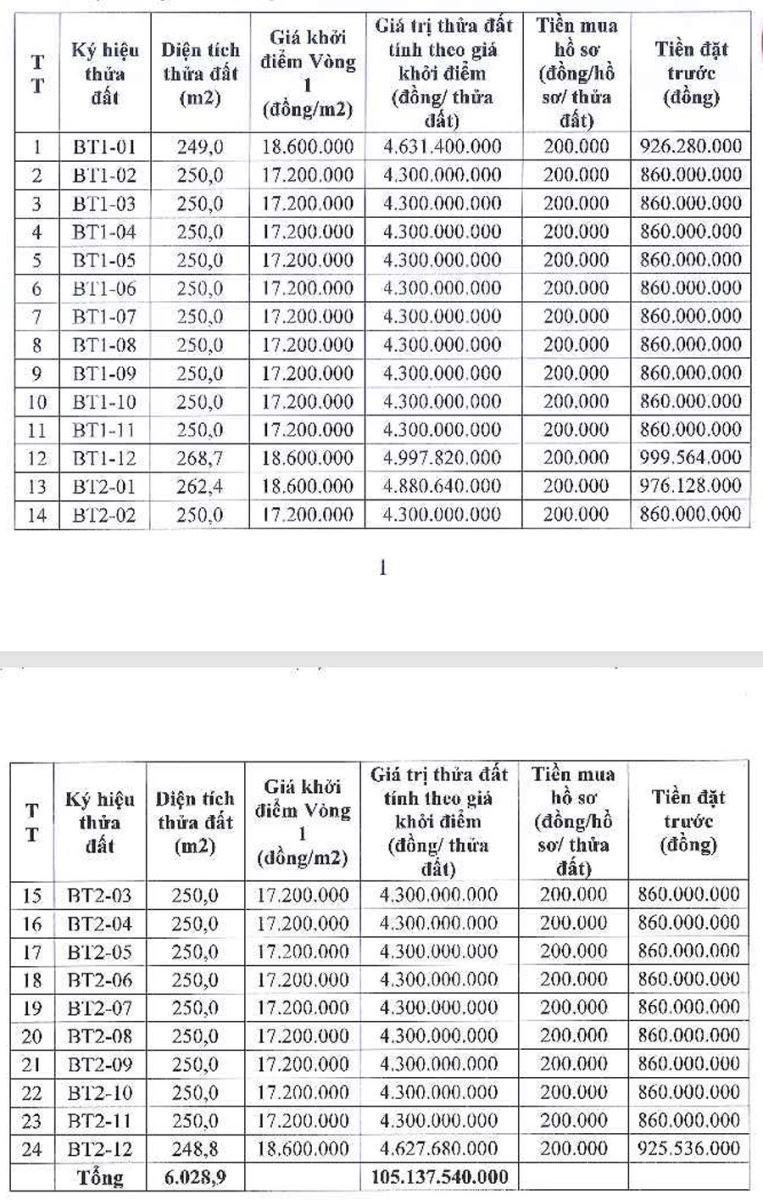
Thông báo đấu giá quyền sử dụng đất ở đối với 24 thửa đất khu BT02 thị trấn Vân Đình, huyện Ứng Hòa, thành phố Hà Nội